POTENCIACIÓN

La potenciación es una operación matemática entre dos términos denominados: base y exponente. Se escribe y se lee normalmente como «a elevado a la n». Hay algunos números exponentes especiales como el 2, que se lee al cuadrado o el 3, que se lee al cubo.
PROPIEDADES DE LA POTENCIACIÓN
1.MULTIPLICACIÓN DE POTENCIAS IGUALES
El producto de dos o más potencias de igual a base «a» es igual a la potencia de base a y exponente igual a la suma de los exponentes respectivos.

2..DIVISIÓN DE POTENCIAS IGUALES
Para dividir potencias de igual base, se escribe la misma base y se restan los exponentes.

3. POTENCIA CERO
Pues ahora podemos demostrar utilizando la propiedad del 'cociente de potencias de igual base y diferente exponente' que cualquier número elevado a cero es igual a uno. Sabemos que no te terminas de creer que un número elevado a 0 sea igual a 1.

4.POTENCIA DE UNA POTENCIA
Para calcular la potencia de una potencia se escribe la misma base "a" y se multiplican los exponentes.

5. POTENCIA BASE 10
En las potencias con base 10, el resultado será la unidad seguida de tantos ceros
Como indica la cifra del exponente.

6. POTENCIAS NEGATIVAS
POTENCIAS DE EXPONENTE NEGATIVO. Cuando tenemos un exponente negativo hay que INVERTIR LA BASE para pasar a exponente positivo. Fíjate que el poner el inverso de la base no significa cambiar el signo de la misma. Al final el signo del resultado dependerá de si el exponente es par o impar

EJERCICIOS RESUELTOS
por favor mirar, observar y analizar los ejercicios resueltos a través de este link:
EJERCICIOS SEMANA 13-17 DE ABRIL


RADICACIÓN
La radicación se define como la operación inversa de la potenciación. La potenciación es una expresión matemática que incluye dos términos denominados: base a y exponente n. Se escribe de la siguiente forma:
Se lee como, "a elevado a n"

Propiedades de la radicación
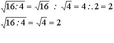
En la división
recuerde que : significa dividisión

En la multiplicación

Si el índice es par entonces el radicado tiene que ser positivo y la raíz entonces dos resultados, uno positivo y otro negativo, para este nivel utilizamos el resultado positivo.

Si el índice es impar entonces la raíz va a tener el mismo signo que el radicando

Si tengo una raíz de raíz se multiplican los índices.

Comparemos las propiedades de las operaciones inversas

solucion de raices por descomposición
Hallar la raíz de un número no es una tarea sencilla, en este apartado se explicará un algoritmo que nos permite hallar la raíz de un número, siempre y cuando la raíz sea exacta. El siguiente algoritmo se basa en aplicar los siguientes teoremas :
- "La radicación de un producto es igual a la radicación de los factores por separado."
- "La radicación de una potencia es igual a la base de la potencia elevado a la división del exponente con el índice de la radicación."
Aquí el algoritmo :
- Se descompone el radicando en sus factores primos.
- Se expresa el radicando en una multiplicación de potencias.
- Se separan los potencias en radicaciones por separado.
- Se operan las raíces por separado.
- Se multiplican los factores que quedan.
Cuando la raíz no es exacta entonces se suele dejar indicado el factor que tiene una radicación.

EJERCICIOS RESUELTOS
EJERCICIOS PARA RESOLVER (Abril 27- mayo 1)
1. Resuelva la siguientes raíces

Complete el cuadro

Realice las operaciones

ENTREGA DE TRABAJOS
COLEGIO COSTA RICA
Cra. 101 #23-42, Bogotá
hayoht2015@gmail.com
dienicoclaus@hotmail.com
LOS ESTUDIANTES DE 901 AL CORREO DE LA DOCENTE HAYDEE: hayoht2015@gmail.com
LOS ESTUDIANTES DE 902 ENVÍAN LOS TRABAJOS A TRAVÉS DE LA ESTUDIANTE FLECHAS AL WHATSAAP 3203989947
LOS ESTUDIANTES DE 903 AL WHATSAAP DE ALDANA AL 3124607637
